Pada kesempatan kali ini saya akan mencoba untuk membahas soal Kalkulus pada buku karangan Edwin J. Purcell (from University of Arizona) dan Dale Varberg (from Hamline University), yang akan dibahas yaitu pada Bab 1 (Pendahuluan) soal 1.1, saya juga tak tahu entah apa yang membuat saya juga mau membahasnya

File microsoft wordnya dapat kamu donwload disini, berikut ini akan ditampilkan hanyalah dalam bentuk gambar, tentu akan kurang maksimal hasilnya, karena saya belum tahu cara menulis equation editor di blogspot. Sekali lagi disampaikan bagi yang ingin mendownload file microsoft wordnya dapat didownload disini.
Ok, we begin...........

SOAL-SOAL 1.1
Anda pasti masih ingat bagaimana memanipulasi bilangan, tetapi tidak ada salahnya untuk mengulang kembali sejenak. Dalam soal-soal 1-20, sederhanakan sebanyak mungkin. Pastikan untuk menghilangkan semua tanda kurung dan memudahkan semua pecahan. (kelihatannya dimulai dulu dari soal-soal yang sederhana

File microsoft wordnya dapat kamu donwload disini, berikut ini akan ditampilkan hanyalah dalam bentuk gambar, tentu akan kurang maksimal hasilnya, karena saya belum tahu cara menulis equation editor di blogspot. Sekali lagi disampaikan bagi yang ingin mendownload file microsoft wordnya dapat didownload disini.
Ok, we begin...........
SOAL-SOAL 1.1
Anda pasti masih ingat bagaimana memanipulasi bilangan, tetapi tidak ada salahnya untuk mengulang kembali sejenak. Dalam soal-soal 1-20, sederhanakan sebanyak mungkin. Pastikan untuk menghilangkan semua tanda kurung dan memudahkan semua pecahan. (kelihatannya dimulai dulu dari soal-soal yang sederhana
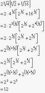
- Jawaban atau pembahasan soal Kalkulus dan Geometri Analitis Jilid I, karangan Edwin J. Purcell dan Dale Varberg, soal no. 1

- Jawaban atau pembahasan soal Kalkulus dan Geometri Analitis Jilid I, karangan Edwin J. Purcell dan Dale Varberg, soal no. 2

- Jawaban atau pembahasan soal Kalkulus dan Geometri Analitis Jilid I, karangan Edwin J. Purcell dan Dale Varberg, soal no. 3

- Jawaban atau pembahasan soal Kalkulus dan Geometri Analitis Jilid I, karangan Edwin J. Purcell dan Dale Varberg, soal no. 4

- Jawaban atau pembahasan soal Kalkulus dan Geometri Analitis Jilid I, karangan Edwin J. Purcell dan Dale Varberg, soal no. 5

- Jawaban atau pembahasan soal Kalkulus dan Geometri Analitis Jilid I, karangan Edwin J. Purcell dan Dale Varberg, soal no. 6

- Jawaban atau pembahasan soal Kalkulus dan Geometri Analitis Jilid I, karangan Edwin J. Purcell dan Dale Varberg, soal no. 7

- Jawaban atau pembahasan soal Kalkulus dan Geometri Analitis Jilid I, karangan Edwin J. Purcell dan Dale Varberg, soal no. 8

- Jawaban atau pembahasan soal Kalkulus dan Geometri Analitis Jilid I, karangan Edwin J. Purcell dan Dale Varberg, soal no. 9

- Jawaban atau pembahasan soal Kalkulus dan Geometri Analitis Jilid I, karangan Edwin J. Purcell dan Dale Varberg, soal no. 10

- Jawaban atau pembahasan soal Kalkulus dan Geometri Analitis Jilid I, karangan Edwin J. Purcell dan Dale Varberg, soal no. 11

- Jawaban atau pembahasan soal Kalkulus dan Geometri Analitis Jilid I, karangan Edwin J. Purcell dan Dale Varberg, soal no. 12

- Jawaban atau pembahasan soal Kalkulus dan Geometri Analitis Jilid I, karangan Edwin J. Purcell dan Dale Varberg, soal no. 13

- Jawaban atau pembahasan soal Kalkulus dan Geometri Analitis Jilid I, karangan Edwin J. Purcell dan Dale Varberg, soal no. 14

- Jawaban atau pembahasan soal Kalkulus dan Geometri Analitis Jilid I, karangan Edwin J. Purcell dan Dale Varberg, soal no. 15

- Jawaban atau pembahasan soal Kalkulus dan Geometri Analitis Jilid I, karangan Edwin J. Purcell dan Dale Varberg, soal no. 16

- Jawaban atau pembahasan soal Kalkulus dan Geometri Analitis Jilid I, karangan Edwin J. Purcell dan Dale Varberg, soal no. 17

- Jawaban atau pembahasan soal Kalkulus dan Geometri Analitis Jilid I, karangan Edwin J. Purcell dan Dale Varberg, soal no. 18

- Jawaban atau pembahasan soal Kalkulus dan Geometri Analitis Jilid I, karangan Edwin J. Purcell dan Dale Varberg, soal no. 19

- Jawaban atau pembahasan soal Kalkulus dan Geometri Analitis Jilid I, karangan Edwin J. Purcell dan Dale Varberg, soal no. 20

(gak susah kan........... ni akan dimulai soal yang pakai variabel)


Sedikit latihan aljabar akan baik untuk mahasiswa kalkulus. Dalam Soal-soal 21-34, lakukan operasi yang diminta dan sederhanakan.
- Jawaban atau pembahasan soal Kalkulus dan Geometri Analitis Jilid I, karangan Edwin J. Purcell dan Dale Varberg, soal no. 21

- Jawaban atau pembahasan soal Kalkulus dan Geometri Analitis Jilid I, karangan Edwin J. Purcell dan Dale Varberg, soal no. 22

- Jawaban atau pembahasan soal Kalkulus dan Geometri Analitis Jilid I, karangan Edwin J. Purcell dan Dale Varberg, soal no. 23

- Jawaban atau pembahasan soal Kalkulus dan Geometri Analitis Jilid I, karangan Edwin J. Purcell dan Dale Varberg, soal no. 24

- Jawaban atau pembahasan soal Kalkulus dan Geometri Analitis Jilid I, karangan Edwin J. Purcell dan Dale Varberg, soal no. 25

- Jawaban atau pembahasan soal Kalkulus dan Geometri Analitis Jilid I, karangan Edwin J. Purcell dan Dale Varberg, soal no. 26

- Jawaban atau pembahasan soal Kalkulus dan Geometri Analitis Jilid I, karangan Edwin J. Purcell dan Dale Varberg, soal no. 27

- Jawaban atau pembahasan soal Kalkulus dan Geometri Analitis Jilid I, karangan Edwin J. Purcell dan Dale Varberg, soal no. 28

- Jawaban atau pembahasan soal Kalkulus dan Geometri Analitis Jilid I, karangan Edwin J. Purcell dan Dale Varberg, soal no. 29

- Jawaban atau pembahasan soal Kalkulus dan Geometri Analitis Jilid I, karangan Edwin J. Purcell dan Dale Varberg, soal no. 30

- Jawaban atau pembahasan soal Kalkulus dan Geometri Analitis Jilid I, karangan Edwin J. Purcell dan Dale Varberg, soal no. 31
Pembahasan no. 31 ini semula ada kekeliruan dan alhamdulillah telah dikoreksi oleh Haves Taratula, terima kasih...^_^

- Jawaban atau pembahasan soal Kalkulus dan Geometri Analitis Jilid I, karangan Edwin J. Purcell dan Dale Varberg, soal no. 32

- Jawaban atau pembahasan soal Kalkulus dan Geometri Analitis Jilid I, karangan Edwin J. Purcell dan Dale Varberg, soal no. 33

- Jawaban atau pembahasan soal Kalkulus dan Geometri Analitis Jilid I, karangan Edwin J. Purcell dan Dale Varberg, soal no. 34

- Jawaban atau pembahasan soal Kalkulus dan Geometri Analitis Jilid I, karangan Edwin J. Purcell dan Dale Varberg, soal no. 35
Carilah nilai masing-masing yang berikut; jika tak terdefinisi, katakan demikian

- Jawaban atau pembahasan soal Kalkulus dan Geometri Analitis Jilid I, karangan Edwin J. Purcell dan Dale Varberg, soal no. 36
Perlihatkan bahwa pembagian oleh 0 adalah tanpa arti sebagai berikut:

- Jawaban atau pembahasan soal Kalkulus dan Geometri Analitis Jilid I, karangan Edwin J. Purcell dan Dale Varberg, soal no. 37
Nyatakanlah apakah masing-masing yang berikut benar atau salah,

- Jawaban atau pembahasan soal Kalkulus dan Geometri Analitis Jilid I, karangan Edwin J. Purcell dan Dale Varberg, soal no. 38


- Jawaban atau pembahasan soal Kalkulus dan Geometri Analitis Jilid I, karangan Edwin J. Purcell dan Dale Varberg, soal no. 39
Buktikan bahwa rata-rata dua buah bilangan terletak di antara kedua bilangan itu, artinya, buktikan bahwa:


- Jawaban atau pembahasan soal Kalkulus dan Geometri Analitis Jilid I, karangan Edwin J. Purcell dan Dale Varberg, soal no. 40

gak pusing kan.........??
- Jawaban atau pembahasan soal Kalkulus dan Geometri Analitis Jilid I, karangan Edwin J. Purcell dan Dale Varberg, soal no. 41
Bilangan prima adalah bilangan asli (bilangan bulat positif) yang hanya mempunyai dua bilangan asli pembagi, bilangan itu sendiri dan 1. Beberapa bilangan prima yang pertama adalah 2, 3, 5, 7, 11, 13, 17. Menurut Teorema Dasar Hitungan, setiap bilangan asli (selain 1) dapat kita tulis sebagai hasil kali suatu himpunan unik bilangan prima. Misalnya, 45 = 3 . 3 . 5. Tuliskan masing-masing yang berikut sebagai suatu hasil kali bilangan-bilangan prima.( a ) 240 = 2 . 2 . 2 . 2 . 3 . 5
Catatan: Hasil kali tersebut adalah trivial jika bilangan itu adalah prima – yaitu, ia hanya mempunyai satu faktor
( b ) 310 = 2 . 5 . 31
( c ) 119 = 7 . 17
( d ) 5400 = 2 . 2 . 2 . 3 . 3 . 3 . 5 . 5
- Jawaban atau pembahasan soal Kalkulus dan Geometri Analitis Jilid I, karangan Edwin J. Purcell dan Dale Varberg, soal no. 42
Gunakan Teorema Dasar Hitungan (Soal 41) untuk membuktikan bahwa kuadrat sebarang bilangan asli (selain 1) dapat kita tulis sebagai hasil kali suatu himpunan unik bilangan prima, dengan masing-masing bilangan prima ini muncul sebanyak bilangan genap. Misaalnya, (45) ² = 3 . 3 . 3 . 3 . 5 . 5.
Pembahasan:

- Jawaban atau pembahasan soal Kalkulus dan Geometri Analitis Jilid I, karangan Edwin J. Purcell dan Dale Varberg, soal no. 43

sepertinya soal-soal selanjutnya banyak berkaitan deh dengan soal sebelumnya,
- Jawaban atau pembahasan soal Kalkulus dan Geometri Analitis Jilid I, karangan Edwin J. Purcell dan Dale Varberg, soal no. 44

- Jawaban atau pembahasan soal Kalkulus dan Geometri Analitis Jilid I, karangan Edwin J. Purcell dan Dale Varberg, soal no. 45

- Jawaban atau pembahasan soal Kalkulus dan Geometri Analitis Jilid I, karangan Edwin J. Purcell dan Dale Varberg, soal no. 46

- Jawaban atau pembahasan soal Kalkulus dan Geometri Analitis Jilid I, karangan Edwin J. Purcell dan Dale Varberg, soal no. 47
Mana di antara yang berikut rasional dan mana yang tak rasional?

- Jawaban atau pembahasan soal Kalkulus dan Geometri Analitis Jilid I, karangan Edwin J. Purcell dan Dale Varberg, soal no. 48
Apakah jumlah dua bilangan takrasional pasti tak rasional? Jelaskan.
Sebelum kita ketahui dulu bahwa hasil bagi suatu bilangan takrasional dengan bilangan rasional adalah takrasional
Perhatikan pembuktiannya berikut ini

Sekarang kita kembali ke soal untuk menjawab apakah jumlah dua bilangan takrasional pasti takrasional

- Jawaban atau pembahasan soal Kalkulus dan Geometri Analitis Jilid I, karangan Edwin J. Purcell dan Dale Varberg, soal no. 49

- Jawaban atau pembahasan soal Kalkulus dan Geometri Analitis Jilid I, karangan Edwin J. Purcell dan Dale Varberg, soal no. 50

- Jawaban atau pembahasan soal Kalkulus dan Geometri Analitis Jilid I, karangan Edwin J. Purcell dan Dale Varberg, soal no. 51

- Jawaban atau pembahasan soal Kalkulus dan Geometri Analitis Jilid I, karangan Edwin J. Purcell dan Dale Varberg, soal no. 52


Kalau ada yang diragukan atau kurang mengerti silakan ditanyakan ya......, selagi saya bisa akan diusahakan ^_^ :-), O ya sekali lagi disampaikan bagi yang ingin mendownload file microsoft word nya silakan didownload di sini,
Sekian dulu ya sharing dari saya, Assalamu 'alaikum......
5 komentar:
bab yg lain nggk ada ta min ?
Belum sempat mas :(
kak ini linknya eror gimana yah?
ijin share poetingan ke blog ane ya bg
ijin share poetingan ke blog ane ya bg
Posting Komentar